Wytężenie materiału – stan materiału elementu obciążonego siłami zewnętrznymi i wewnętrznymi, w którym istnieje niebezpieczeństwo osiągnięcia granicy plastyczności materiału, stanu krytycznego lub utraty spójności materiału.
Wytężenie materiału określa się poprzez opisanie złożonego stanu naprężenia pewną skalarną miarą. Miara ta przybiera postać naprężenia zredukowanego (zastępczego, umownego)

i jest obliczana na podstawie przyjętej hipotezy wytężeniowej. Naprężenie zredukowane jest więc wielkością umowną, która może przybierać różne wartości zależne od aktualnie zastosowanej hipotezy. Tak otrzymana wartość naprężenia zredukowanego może być użyta do oceny wytrzymałości poprzez porównanie jej z własnościami wytrzymałościowymi materiału, na przykład wytrzymałością na rozciąganie

lub naprężeniem zrywającym

które uzyskuje się w czasie statycznej próby rozciągania.
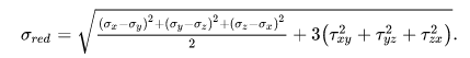
Najczęściej stosowaną hipotezą wytrzymałościową dla stali i metali o wyraźnej granicy plastyczności jest hipoteza energii właściwej odkształcenia postaciowego (sformułowana w roku 1904 przez polskiego uczonego Maksymiliana T. Hubera oraz niezależnie w 1913 r. przez Austriaka Richarda von Misesa i w 1924 Niemca Heinricha Hencky’ego, jednak priorytet Hubera na ogół nie jest kwestionowany) (w literaturze znana jako hipoteza H-M-H). Zakłada ona, że ciało jest doskonale sprężyste i że praca naprężenia zredukowanego równa jest sumie prac wszystkich naprężeń składowych, przy czym

Podstawą obliczeń wytrzymałościowych jest upewnienie się, iż naprężenie zastępcze jest mniejsze od naprężenia dopuszczalnego k tzn.

W praktyce projektowej naprężenie dopuszczalne wyznacza się z zależności:

gdzie:
– naprężenie niebezpieczne – w zależności od rodzaju materiału jest nim wytrzymałość na rozciąganie (dla materiałów plastycznych) lub naprężenie zrywające dla materiałów kruchych,

x – współczynnik bezpieczeństwa.
Współczynnik bezpieczeństwa jest zależny od wielu czynników takich jak: materiał projektowanego detalu, jego rodzaj, stopień złożoności, wymagana minimalna niezawodność itp. Zawiera on się w przedziale x = 1 , 1 − 20 , 0 , a najczęściej x = 2 , 5 − 4 , 0. Dla typowych zastosowań przyjmuje się: lotnictwo – 1,5, liny i łańcuchy – 4,0.
- M. Bielajew, Wytrzymałość materiałów, Wydawnictwo MON, Warszawa 1954.
- Huber M.T., Właściwa praca odkształcenia jako miara wytężenia materyału – Przyczynek do podstaw teorii wytrzymałości, Towarzystwo Politechniczne we Lwowie, Lwów, 1904
- von Mises, R. „Mechanik der festen Körper im plastisch-deformablen Zustand”. Opublikowano w Gesellschaft der Wissenschaften zu Göttingen. Mathematisch-Physikalische Klasse. 1913 (1): 582–592.
- Stanisław Burzyński, Plastyczność w 6-parametrowej nieliniowej teorii powłok, efektywność obliczeń MES, sierpień 2014 [dostęp 2021-03-31].