Moduł Kirchhoffa (G) (inaczej moduł odkształcalności postaciowej albo moduł sprężystości poprzecznej) – współczynnik uzależniający odkształcenie postaciowe materiału od naprężenia, jakie w nim występuje. Jednostką modułu Kirchhoffa jest paskal (Pa). Jest to wielkość określająca sprężystość materiału.

– naprężenia ścinające,
γ – odkształcenie postaciowe.
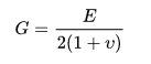
Moduł Kirchhoffa dla materiałów izotropowych bezpośrednio zależy od modułu Younga i liczby Poissona:

gdzie:
υ – liczba Poissona,
E – moduł Younga.
- Modulus of Rigidity (ang.). [dostęp 2018-06-25].
- Moduł Kirchhoffa, [w:] Encyklopedia PWN [online] [dostęp 2021-07-24].