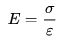
Moduł Younga (E) – inaczej moduł odkształcalności liniowej albo moduł (współczynnik) sprężystości podłużnej (w układzie jednostek SI) – wielkość określająca sprężystość materiału przy rozciąganiu i ściskaniu. Wyraża ona, charakterystyczną dla danego materiału, zależność względnego odkształcenia liniowego ε materiału od naprężenia σ, jakie w nim występuje – w zakresie odkształceń sprężystych[2].

Jednostką modułu Younga jest paskal, czyli N/m².
Moduł Younga jest hipotetycznym naprężeniem, które wystąpiłoby przy dwukrotnym wydłużeniu próbki materiału, przy założeniu, że jej przekrój nie ulegnie zmianie (założenie to spełnione jest dla hipotetycznego materiału o współczynniku Poissona υ = 0).
Wielkość została nazwana na cześć angielskiego naukowca i lekarza Thomasa Younga[3].
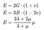
W przypadku materiału izotropowego moduł Younga powiązany jest z innymi stałymi materiałowymi:

gdzie:
G – moduł Kirchhoffa,
υ – liczba Poissona,
B – moduł Helmholtza,
λ i μ – stałe Lamégo.
- Forroro, J.P. Selvatat, J.M. Bonard, R. Bacsa, N.H. Thomson, S. Garaj, L. Thein-Nga, R. Gaal, A. Kulik, B. Ruzicka, L. Degiorgi, A. Bachtold, C. Schonenberger, S. Pekker, K. Harnadi, Electronic and mechanical properties of carbon nanotubes, PDF.
- Nawrot, Karolczak i Jaworska 2013 ↓, s. 424–425.
- Younga moduł, [w:] Encyklopedia PWN [online] [dostęp 2021-07-29].
- Alicja Nawrot, Dorota Karolczak, Jadwiga Jaworska: Encyklopedia – fizyka z astronomią. Kraków: GREG, 2013. ISBN 978-83-7517-210-2.